Home

Le trasformazioni affini del piano.

Definizioni

Lo studio delle trasformazioni geometriche elementari del piano ha un ruolo molto importante nello studio della geometria. Basti pensare al "Programma di Erlanger" di Klein (1872) che definì la geometria come lo studio delle proprietà che restano invarianti rispetto ad un certo gruppo di trasformazioni. Vediamo come viene definito un tipo particolare di trasformazioni geometriche: le affinità.
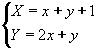
Un'affinità (o trasformazione affine) fra due piani e è un'applicazione biiettiva T che fa corrispondere al punto P di coordinate x, y il punto P' di coordinate X, Y secondo la formula:

dove i coefficienti a, b, c, d, e, f sono numeri reali. L'applicazione è biiettiva se .
(Se non hai capito la definizione di trasformazione affine vedi la nota )

Usando le notazioni dell'algebra lineare si può anche scrivere l'applicazione T sotto forma di prodotto fra matrici:

sotto l'ipotesi che:  dove la matrice    è la matrice dell'affinità.


Proprietà fondamentali.

Si può dimostrare che un'affinità gode delle seguenti proprietà:

In generale un'affinità non conserva la forma delle figure. Infatti l'immagine di un rettangolo è in generale un parallelogramma, così come l'immagine di una circonferenza sarà un'ellisse ( esempio 2 ).


Esempio 1

Consideriamo la seguente affinità T :

Si tratta di un'affinità poiché det(A)=-1. Per capire come agisce T , vediamo come viene trasformato da T il triangolo isoscele ABC (nelle figure 1 e 2 rappresentato in rosso) di vertici A (0,0), B (2,0), C (1,2).

Il punto A ha come immagine il punto A' (1,0). Il punto B ha come immagine il punto B' (3,4). Il punto C ha come immagine il punto C' (4,4).


(fig. 1: il triangolo isoscele di partenza)
(fig. 2: il triangolo di partenza ed il triangolo immagine)

Notiamo che la figura trasformata (nel disegno 2 il triangolo in blu) è un triangolo scaleno.


Esempio 2

Consideriamo la seguente affinità T :

Si tratta di un'affinità poiché det(A)=3. Per capire come agisce T , vediamo come viene trasformato da T la circonferenza di centro l'origine e  raggio 1 (fig. 3). La figura trasformata è un'ellisse (fig.4).

(fig. 3)
(fig.4)

Elementi uniti.

Se il piano di partenza e quello di arrivo coincidono, si possono cercare degli elementi che godono di proprietà particolari: i punti uniti (ovvero i punti che hanno come immagine se stessi) e le rette unite ( ovvero le rette che sono immagini di se stesse).

Per trovare i punti uniti basta considerare la formula dell'affinità e porre x=X e y=Y ottenendo:

Si ottiene così un sistema lineare nelle due incognite x e y. A seconda dei casi si potrà avere una sola soluzione (un solo punto unito), infinite soluzioni (infiniti punti uniti, tutti appartenenti alla medesima retta), nessuna soluzione (nessun punto unito).

Nell' esempio 1 risulta un solo punto unito : P (0,-1). Nell' esempio 2 il solo punto unito è l'origine O (0,0).


Tipi particolari di affinità.

Le affinità si possono classificare in vari tipi a seconda delle proprietà di cui godono o meglio in base ai loro invarianti.

Una affinità si dice una similitudine se conserva l'ampiezza degli angoli. In particolare le similitudini conservano il parallelismo fra le rette e trasformano una figura in un'altra simile a quella data. Fra le similitudini una particolare importanza hanno le omotetie.

Una affinità si chiama un' isometria quando fa corrispondere a due punti qualsiasi A e B due punti A' e B' in modo tale che il segmento AB sia congruente al segmento A'B' . Possiamo quindi dire che un'isometria è un'affinità che conserva le distanze e la forma e la grandezza delle figure. Fra le isometrie possiamo distinguere ulteriormente le rotazioni , le traslazioni. Una isometria è ovviamente una similitudine.

Infine le trasformazioni affini si possono anche comporre ( composizione di trasformazioni affini ).


a cura di: Laura Lotti - e-mail: webmaster@frattali.it - Ultima revisione: 21 aprile 2003